氢-氘体系的氘丰度质谱分析技术
介绍了用低分辨MAT253质谱计准确测量氢-氘体系中氘丰度的分析技术。通过建立实验室次级标准样品配气系统,并考虑氢同位素的灵敏度差异,测得了几何校正因子( k) 。对不同氘丰度的气体样品比对分析,2个独立检测的结果吻合较好。
在利用低分辨MAT253质谱计对氢-氘体系中氘丰度进行测量时,存在质量重叠峰、进样系统质量分馏效应以及离子光学系统质量歧视效应的问题。真空技术网曾经有篇文章采用单原子离子离解系数,较好地解决了质量重叠峰问题。对于进样系统质量分馏效应,当进样压力处于粘滞流工作区,一般引入质量平方根进行校正;当进样压力处于非稳定粘滞流工作区,除了引入质量平方根,还必须引入与分子泵相关的几何校正因子k。为了准确测定k ,必须有标准的氢-氘混合气。目前,要获得不同丰度的氢氘标准气体比较困难,只能建立实验室配气系统配制次级标准样品。称量法是普遍采用的较准确的配气方法,但对称量的仪器精度要求非常高,测量成本较为昂贵。真空技术网曾经有篇文章建立的活性碳低温吸附收集配气法需要在液氮温区操作,系统较为复杂。另外,多数文献并未考虑离子光学系统质量歧视效应引起的氢同位素灵敏度差异的问题。本工作拟采用简单易操作的压强法配气系统,并在考虑氢同位素灵敏度差异的基础上,测定几何校正因子k ,并测定氢-氘体系中的氘丰度。
1、原理
1.1、单原子离子的离解系数
在低分辨质谱计上,H2+和D+ 的离子流强度(I) 在质量数2上叠加。为了比较准确地计算D+的离子流强度,引入单原子离子离解系数(a),定义如式(1):

其中, I ( H+ ) , I (D+ ) , I ( H2+ ) , I ( HD+ ) ,I (D2+ ) 分别为H , D , H2 , HD , D2 的离子流强度; I2为质量数为2的离子流强度。
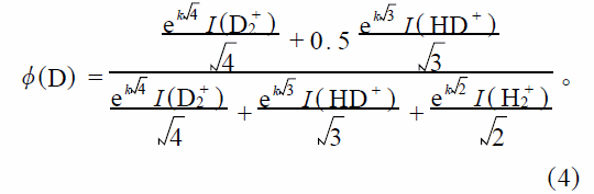
1.2、进样系统质量分馏效应的校正
由于分子泵对不同质量的气体有不同的抽速,从而产生分子泵压缩效应,导致分析室内样品的丰度与进样瓶内样品的丰度并不一致,因此必须引入校正系数。MAT253质谱计进样系统为非稳定粘滞流进样,除了引入质量平方根,还必须引入几何校正因子k。氘丰度的计算如式(4) 。

1.3、离子光学系统的质量歧视效应
据真空室新技术网前方的文章内容宣传报道,质谱的化合物光学玻璃设备中存有质偏见滞后效应。这最主要是鉴于在相似的集中必要条件下,氢放射性核素各混合物的化合物束流有有所的差异阶段的散发,诱发各混合物在化合物源口狭缝处有有所的差异的迟钝度流失,道理示于图1 。在发送器狭峰准直性效正的问题下,氢放射性核素的迟钝度可能用不同的高纯固体测定法。在了解氢放射性核素各混合物迟钝度的差异的基础框架上,必得到新的氘丰度计算出换算公式下述:

2、实验部分
2.1、试剂与仪器
高纯氯气、离氮气、氢气,含量99.999% ,由苏州市氦普北分气态工业品受限平台提拱;氘气,丰度99.9% ,由中华国际船舶718 所提拱;氢气态积结果分为为89.7%, 75.6%, 67.5%, 58.8%的氧-氮混气态,由发达检测标准规范杂质装修有限公司提拱。压计1 , 满满量程0 ~200kPa ( 绝压) , 高精准度0.05,西安望源测控仪盘表厂;压计2 ,满满量程0~250kPa (表压) , 高精准度0.05, 西安光华仪盘表厂;GC4000A 型气质联用色谱仪,苏州市立体自动化平台;分不高辨MAT253 质谱计,加快速度电阻10kV ,试射电流量1.5 mA ,新加坡Thermo Finnigan 平台。2.2、实验步骤
(1) 分别将高纯氢和纯氘通入质谱计,测量单原子离子离解系数a11 , a22 ,并按公式(2) 计算a12 。
(2) 都将高纯氧气和氘气通入质谱计,改善进样经济压力,在线测量氧气和氘气的绝对性机灵性度,并按相来说机灵性度分类求算氘气的相来说机灵性度, HD相来说机灵性度取氧气和氘气相来说机灵性度的总值值。 (3) 充分利用高纯氢和纯氘为基样,从复6次配置一致氘丰度的氢2氘混合型喂养气休,通入质谱计检测的,单独以各团伙正铝离子的正铝离子流抗拉强度测值有所作为团伙含量的测值测算氘丰度。(4) 用国家标准物质中心提供的φ(O2) =58.8%, 67.5% , 75.6% , 89.7%的氧2氮混合气体对气相色谱进行标定,然后以高纯氧气和高纯氮气为基样, 利用配气系统配制φ (O2) =60.98% , 69.46% , 78.19% , 89.76%的氧-氮混合气体,分别通入气相色谱仪进行测量,以标定值作为配气值的标准值。将配气值和标准值进行线性拟合,对配气系统的系统误差进行线性校正。
(5) 采取高纯氢和纯氘为基样,调制一编有所不同氘丰度的实验报告室次级标准化相混混合气体,对应通入质谱计检测,计算k值。












用四极质谱计对316L不锈铝定制的相当高真空环境(XHV) 自校室在烘烤前、
涉及制作纵向带来式航空时光质谱仪的还要,利用立即数字9频繁 镶嵌
论文解绍了MKS子工厂和INFICON子工厂的多余汽体研究仪(RGA)的RS-23