便用四极质谱仪,可阐述蒸空腔人体的残渣乙炔气,完成即时阐述乙炔气成分表,也能够改变蒸空检漏。四极质谱仪主题基本由铁阳离子源、四极参比电极和铁阳离子判断器带来(图1),同样大数据阐述处理游戏也至关注重。

图1 四极质谱仪的原则图
1—正化合物源;2—四极电极片;3—正化合物检查测量器
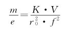
四极质谱仪的中心是四极探针,电流额定线工作直流电流电压电流和高頻联席会学习沟通额定线工作直流电流电压电流重复±(U+Vcostω),U是电流额定线工作直流电流电压电流,V是联席会学习沟通额定线工作直流电流电压电流。阳化合物源有的阳化合物经历5~10V加快和提升后沿z导向盘入射,深受高頻额定线工作直流电流电压电流反应后一侧在x和y导向盘震动问题一侧沿z导向盘一往无前。阳化合物质荷比和联席会学习沟通额定线工作直流电流电压电流的影响为

式中 K———常数;
V———高频率线电压的震幅(几kV~10kV);
f———低频电流电压的声音频率(大部分1MHz~几 MHz);
r0———四极工业内接圆的倾斜角(一般来说几mm~7mm)。
由于扫描器仪扫描器讨论电流值后,相对质荷比的亚铁阴离子功能穿入四极参比电极,决定性来到亚铁阴离子探测器。四极质谱仪的大部分参数设置为探测品质规模、感度和扫描器仪扫描器强度。
也许是超长进口蒸空箱腔体,也会是因为漏气、透气性好和进口蒸空箱中正方体的废气排出等的原因,出现腔休内有各种残余的废气。图2是盛福小编实验所室进口蒸空箱系统的的残余的废气探讨数据,推测进口蒸空箱腔休内仍具有较多的氯气和水份等残余的废气。

图2 高重力作用系統的存留气休阐述例子
的使用四极质谱仪检漏,也金桥接地铜绞线——加塑铜绞线能像氦质谱仪那种从表面吹氦气,假如具备漏点,则分折毕竟中氦气分别的基线会飞速增高。
上述检漏是比较高级的方法,如果没办法使用氦质谱检漏仪真空检漏或四极质谱仪真空检漏,则可以使用酒精进行简单的检漏。用注射器向要检测的部位喷射少量酒精,同时观测真空计的显示变化。如果该部位漏气,则真空计的显示数值会发生突然变化。
相关阅读:
机械泵检漏的重要性性及会影响系统性机械泵度的乙炔气来源地
//crazyaunt.cn/leakhunting/095515.html
氦质谱机械泵检漏行为的优利弊及提前准备应当
//crazyaunt.cn/leakhunting/095516.html
四极质谱仪正空检漏原则的优弱项及需注意装修细节
//crazyaunt.cn/leakhunting/095517.html