分压强质谱计校准装置测量不确定度评估
分压强质谱计校准装置采用动态直接测量法和衰减压强的分子流动态进样法,测量混合气体的分压强,可以对质谱计的灵敏度、图样系数等参数进行样准,以保证质谱计测量的准确性。 检测不判别度是较准器的其中一个根本技术性指数公式,而检测不判别度有必要凭借丰富工作设计室设计去科学的的估评。自分压强质谱计较准器完成后,去了长时间的工作设计室设计,相当在重中之重的可以参考准则—磁浮悬马达旋转叶规特性角度,积攒了丰富工作设计室数据报告,包扩磁浮悬马达旋转叶规的长时间保持稳相关性、切向动量转递公式随固体那个种类和的温度的变动等。并在这前提上,积极考虑到任何干扰量的干扰。本论文按近来亚太上的推薦,通过相互配合一样的在“检测不判别度表明导则”中定义的“不判别度”定义名词解释评审形式,对分压强质谱计较准器的不判别度去了要从严估评。
1、装置的组成和工作原理
分压强质谱计标定安全装置工作的基本工作原理简图如下图如图1如图,注意由供氧体系、进样体系、标定室和抽气体系等几个部分分解成。供氧体系、进样体系共计相当的三路,图例只绘制中间沿途。抽气系统由机械泵(1),分子泵(4,6),溅射离子泵(7)等组成。校准室由上球室(14),下球室(10),真空规(13,15)组成。进样系统由角阀(16),小孔(17),针阀(20),稳压室(21),磁县浮转子规(19)组成。供气系统由机械泵(26),气瓶(27),电磁阀(23,24),减压阀(25)组成。校准装置的详细结构和工作原理有文献报道[1],在此不再详细介绍。

2、测量不确定度评定[2]
分压强预估不选定度的主要是因素有:(1)压强预估不选定度;(2)磁飘浮马达定子规短期相对稳明确不太高;(3)磁飘浮马达定子规传输公式随气休的转变 规律;(4)磁飘浮马达定子规传输公式随温的转变 规律;(5)温转变 规律对磁飘浮马达定子规指示标志压强的导致。2.1、压强测量不确定度
(1) 动态直接测量法不确定度的评定
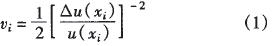
只通入一再其他气体时转变成的分压强为Pt,估测不肯定度为ut,此刻压强估测不肯定度便是校正室上磁飘浮旋转叶规的估测不肯定度。可根据磁飘浮旋转叶规校正证明,初始化不肯定度U=0.80%(k=2),即u(p1) =0.40%。其自在度v1用B类认定规定不肯定度的自在度有相拟工式换算换算,见工式换算(1),后文中B类认定规定不肯定度的自在度均由此而知式换算。
中:
--表示u(xi)值的不可靠度。
u(p1)来自校准证书,假设其100%可靠,则其自由度。v1=∞。
通入第二路气体时此路气体产生的分压强为p2,测量不确定度为u(p2),设两路气体产生的总压强为p1+2,则p2=p1+2 -p1。根据不确定度评定方法,当被测量的函数形式为Y= A1X1+A2X2+..+ANXN时,被测量的标准不确定度ue(y)用公式(2)计算。
(2)
设u(p1)是校准室上磁悬浮转子规测量一种气体的不确定度,为0.40%。u(p2)是校准室上磁悬浮转子规测量第二种气体的不确定度,为了减小此测量不确定度,在调节第二路气体的分压强时,使p1+2≥2p1,为保守起见,以p1+2=2p2为例,则u(p2)=√4·u2(p1)+(-1) 2u2(p1)=0.89%。由于。u(p2)100%可靠,则自由度。v2=∞。
当通入第三路气体时,情况与通入第二路气体时类似,第三路气体的分压强为p3=p1+2+3-p1+2同上述标准不确定度分析方法,可得测量第三种气体的不确定度u(p3)=0.89%。自由度 v3=∞。
(2) 衰减压强的分子流动态进样法不确定度的评定
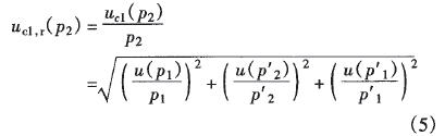
用衰释压强的分子结构外溢态进样法运算分压强时,三路汽体在效准室转变成的分压强的检测的不知道度的运算的方式一样,以首个路特征分析,设R为首个路进样整体的流导比,p1为首个路的长江上游室压强,p2为首个路汽体在效准室中产生的分压强,则p2由表格函数(3)运算:p2=p1×R=p1×p'2/p'1 (3)
式中 : p'2-为测量流导比时校准室的压强;
p'1-为测量流导比时上游室的压强。
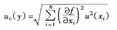
根据数学模型和不确定度的传递律,当数学模型为Y=f(x1,x2,..,xn),且各输人量独立不相关时,被测量的标准不确定度uc(y)用公式(4)计算:
(4)
根据公式(4)可推出p2的相对标准不确定度uc1,r(p2),用公式(5)计算:

u(p'2)/p'2是校准室上磁悬浮转子规测量p'2的相对标准不确定度,为.40%。u(p1)/p2,u(p'1)/p'1是上游室磁悬浮转子规测量p1,p'1的相对标准不确定度,均为0.40%,故uc1,r(p2)为0.69%。有效自由度v4用式(6)计算,由于各自由度分量均为∞,则v4=∞。
(6)















用四极质谱计对316L不锈不锈钢装饰管吗钢板网作的特别高进口真空(XHV) 校正室在烘烤前、
重要性制作方法铅垂产生式飞机飞行准确时间质谱仪的必须,巧用可以号码规律聚合
文中解释了MKS有限有限公司和INFICON有限有限公司的残留物乙炔气研究测试仪(RGA)的RS-23