恒压式气体微流量计的测量误差分析
恒压式气体微流量计(CPFM ) 被多个国家级实验室选作为计量学设备, 用来校准真空规和真空漏孔。该文从理论上对CPFM和带参考室的CPFM的流量测量误差进行了分析。测量过程中温度波动和压力波动对CPFM的流量测量误差作用较大。为CPFM 增加一个适当的参考室, 可以减小测量过程中变容室温度变化对CPFM 的流量测量误差的贡献。
1、引言
本世纪60年代以后, 由于动态流量法真空标准的需求, 促进了高准确度的气体微流量计的发展。恒压式气体微流量计因为具有量程宽、测量准确、输出流量稳定等特点, 被多个国家级实验室选作为计量学设备, 用来校准真空规和真空参考漏孔。
本文从测量原理方面对恒压式气体微流量计可能存在的测量误差进行理论分析, 并根据结果对恒压式气体微流量计的设计给出一些建议。
2、恒压式气体微流量计的测量误差分析
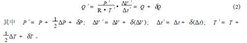
设恒压式气味微国内水2g流量计的变容室中气味在侧量开始和结速时的经济心理压力、面积和溫度主要为P、V和T, 侧量结速时的经济心理压力变量、面积变量和溫度变量主要为△P、△V 和△T,侧量事件为△t, 则国内2g流量值Q由式(1) 指出。式中R为普适气味常数。
(1)


(4)

其中
。另外, 还需要考虑气体微流量计的吸放气和漏气问题。如果其吸放气率和漏率分别为QG和QL, 则流量测量误差为


其中
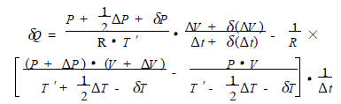
, 这一项误差主要由测量过程中变容室的温度波动和压力波动引起, 温度和压力的变化被系数放大后, 使δQTP项较大。若要减小这项误差, 除了在测量过程中尽量减小温度波动和压力波动以外, 更要在设计恒压式气体微流量计时尽可能增大△V和减小V 。但是必须注意, 增大△V会延长测量时间, 引起温度波动和压力波动增大, V太小又会带来压力测量的误差和困难。
3、带参考室的恒压式气体微流量计
为了拓展恒压式气体微流量计的测量范围, 变容室内气体的工作压力通常可以在多个数量级范围设定, 而在对变容室内的气体进行恒压控制时, 又必须能够灵敏地测量出变容室内气体压力的微小变化。显然, 若采用同一只真空规来准确而灵敏地测量变容室内的气体压力及其变化是非常困难的。为此, 用于真空计量学的恒压式气体微流量计都增加了一个参考室, 测量前在参考室中封存与变容室中压力大致相同的气体。测量时, 参考室密闭,利用差压式真空规测量变容室相对于参考室的压力差DP, 测控系统控制变容室的容积使差压式真空规的测量值恒定。
假设测量起始时参考室的压力和温度分别为PR和TR , 测量结束时参考室的压力变化量和温度变化量分别为△P R 和△T R , 变容室相对于参考室的压力差变化量为△ (DP) ,参考室压力的测量误差和差压式真空规的测量误差分别为δPR 和δDP; 流量的测量值Q′仍用式(2) 计算, 但其中的P ′为
(8)
(9)
同样, 为便于计算和讨论, 令流量的测量误差相对值近似为
(10)
省略去δ(△V)、δ(△t)、δPR、△PR、δDP、△DP、δT 和△T 的二次以上(含二次) 项, 则式(10) 简化为


由于变容室内的压力是通过测量参考室的压力和测量变容室相对于参考室的压力差而得到的,故式(11)、(12) 也可以分别直接由式(5)、(7) 而得到, 即测量过程中变容室的压力变化δP 等于δPR + δDP , 变容室的压力测量误差δP 对应于δPR + δDP。但是|δQ RTP/QR|项与|δQTP/Q|项绝对不仅仅是形式上的不同,|δQTP/Q|项中变容室的压力变化△P 主要由恒压控制效果确定, 与温度变化△T 没有关系; 而在|δQRTP/QR|项中则不同了, 测控系统仅控制△D P 恒定, △P R与△T可以有密切关系。
在流量测量过程中, 参考室是密闭的。假设参考室在测量过程中无吸放气和漏气现象,△PR 完全是由于温度变化而引起的, 则参考室中的气体应当符合波义耳-马略特定律:
(13)
(14)















用四极质谱计对316L不绣钢质作的较高重力作用(XHV) 调校室在烘烤前、
根据自作垂直于转化式航行时质谱仪的需要,利用马上数字5频段组成
下面简单介绍了MKS总部和INFICON总部的残留物有机废气气体进行测试仪(RGA)的RS-23