火车槽罐用外置全启式弹簧安全阀的设计
1、概述
依据多年来火车槽罐在运输过程中出现的事故比较,其中由于内置全启式弹簧安全阀弹簧断裂失效引发的事故较多。因为弹簧与罐内介质长期接触,受到氧化和氢蚀等严重腐蚀。虽然弹簧采用了热喷涂塑层以隔离介质腐蚀等措施,但由于弹簧受交变载荷影响,其两端圈的防腐塑层极易破损,所以塑层起不到有效的防腐作用,故内置全启式弹簧安全阀不能用于运输液化石油气介质的火车槽罐上。经过分析对比,设计了新型外置全启式弹簧安全阀。
2、结构设计
适用性于高铁汽车槽罐使用的外置全启式弹黄健康阀格局构思由于二点规范要求,一要不提升电动电动管道伐门与槽罐的一些连入厚度(即高铁汽车槽罐与电动电动管道伐门连入处格局和厚度不会改变) ,二要限定价格电动电动管道伐门的总高应≤200mm (其重心点距法兰盘下方高≤100mm,电动电动管道伐门过高就会展现空气阻力失稳状况) 。故而适用共同式3组合弹黄的格局(图1) 。
3、设计参数
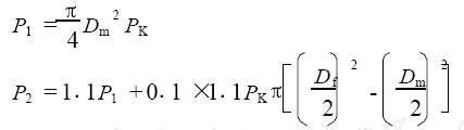
槽罐设计压力Ps = 2.16MPa,阀门开启压力Pk= 1.088Ps,阀门排放压力Pp=1.1Pk、阀门回座压力Ph=0.9Pk ,阀门密封压力Pm=0.9Pk。从组合弹簧副的功用分析,安全阀在开启和排放状态中所承受的载荷值P1和P2为

式中P1———安全阀开启时承受的载荷,N
Dm———阀瓣密封中径,mm
Pk———阀门开启压力,MPa
P2———安全阀关闭时承受的载荷,N
Df———反冲盘外径,mm
P≤(P2-P1)/F
式中F———阀瓣揭开相对高度,mm
F≥Dh/4
4、强度及刚度校核
弹黄材质为60Si2MnA 钢板,按Ⅱ类载荷取许用切扯力〔τ〕。由旋绕比C值制定曲度比率K值,由弹黄钢板口径d校核挠度,由每支弹黄承载能力值之和与总承载能力值校核。
式中KA、KB、KC———分别为三只弹簧的曲度系数
CA、CB、CC———分别为三只弹簧的旋绕比
dA 、dB 、dC———分别为三只弹簧的钢丝直径,mm
P2A、P2B、P2C———分别为三只弹簧的第二载荷(由P2 合力预先分解确定数据) ,N
nA 、nB 、nC———分别为三只弹簧的总圈数
n1A 、n1B、n1C———分别为三只弹簧的工作圈数
PA ′、PB ′、PC ′———分别为三只弹簧的刚度,N /mm
三支组合弹簧的几何参数设置必需满足其强度要求,即PA ′+ PB ′+ PC ′≤P′为设置参数满足刚度的必要条件。
弹簧片压并的长度H为HbA = n1A ×dA
HbB = n1B ×dB
HbC = n1C ×dC
式中 HbA 、HbB、HbC———分别为三只弹簧的压并长度,mm
保证总弯曲刚度值p′改正阀瓣切换极高F,则F=(P2 - P1)/P′
三只弹簧在P2载荷时的变形量F2分别为
F2A =P2A/PA ′
F2B =P2B/PB ′
F2C =P2C/PC ′
三只弹簧在P1 载荷时变形量F1 分别为
F1A = F2A - F
F1B = F2B - F
F1C = F2C - F
三只弹簧的第一载荷P1 为
P1A = F1A ×PA ′
P1B = F1B ×PB ′
P1C = F1C ×PC ′
当P1A + P1B + P1C = P1 , P2A + P2B + P2C = P2 ,弹簧副满足开启和排放两状态负荷要求。
















使用对泄压阀的行为因素浅析,推广了阀体的型式,从而提高了泄压阀的使
介紹了核电厂站螺旋弹簧式安全的管理阀的颤震原因,介紹介绍决安全的管理阀颤震的现象