真空漏孔的校准方法——比较法
相对法复位重力作用系统漏孔时,要将从重力作用系统漏孔泄露的甲烷气体诞生的不确定性与分类原则相较于。为防止校正设备的非非线性和漂移获得的数据误差,分类原则应与重力作用系统漏孔的值尽可以相当。
动态比较法
气体微流量计动态比较法
如图6所示,依次将真空漏孔流出的气体QL和气体微流量计流出的气体Q,分别引人到一个真空室中,再通过限流孔被真空泵抽走,比较它们在真空室中产生的动态平衡压力输出信号(分别为HL和Hs),然后用式(9)计算出真空漏孔的漏率。
QL =(HL/Hs)Qs (9)

此方法中,关键技术之一在于气体微流量计。表1是美国标准技术研究院(NIST)、德国物理技术研究院(PTB)和中国LIP的比较法校准真空漏孔装置的技术指标。
参考漏孔动态比较法
比较被校真空漏孔和已知漏率为口,的参考漏孔在检漏仪中的输出信号HL和Hs,用式(10)计算被校真空漏孔的漏率。
(10)
式中H0为检漏仪的本底信号;as和aL分别为参考漏孔和被校漏孔的温度系数;△Ts,和△TL分别为校准时参考漏孔和被校漏孔与参考温度的偏差。如果Qs、和QL非常接近,则此方法中最大的误差源来自Qs的量值,因此作为参考标准用的参考漏孔必须定期用气体微流量标准或其他高精度的绝对式漏率标准进行校准。这种方法简单实用,许多漏孔校准实验室都用它对实用型参考漏孔(作为非传.递标准用的参考漏孔)进行校准。

静态比较法
定量气体静态比较法
从被校真空漏孔流出的气体在体积V内积累一段时间后,会形成一个分压力,用质谱计将此分压力与标准分压力进行比较,然后可得到真空漏孔的漏率。标准分压力可用静态膨胀法或从已知漏率的漏孔流出气体累积而得到。
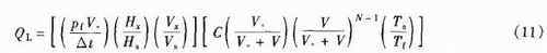
美国SNL用静态膨胀法获得标准分压力,如图7所示。在小容器V.内充入压力为Pt的校准气体(浓度为C)膨胀到大容器V中作为标准压力。每次校准时,用小容器V.从大容器V中取样,然后静态膨胀到Vm中,由质谱计测量其分压力信号Hs;再将被校参考漏孔经过时间△t后在体积V.x。二中累积的气体静态膨胀到Vm中,由质谱计测量其分压力信号Hx。最后用下式计算被校参考漏孔的漏率QL

高清亚洲日韩在线欧美相关的文章阅读:













氦质谱检漏科技是真空度检漏行业领域里不要没有的另外一种科技,用本身科技
利用被检件的在线测量必要性能将氦质谱检漏方式可分成这两种类型、,某种是
大收纳空间检漏方法步骤,在中国外的方法步骤滴水泡法、火烛法、生物制品法、肥皂粉法
根据孔状管端起泡养成的关键理论与实践, 浅议起泡检漏法的目的、遗漏率
用含带卤化(氟、氯、溴、碘)的混合废气为示漏混合废气的检漏议器叫作卤化