真空漏孔的校准方法——恒压变容法
将从机械泵环境漏孔淌出的固体引人到一袋子中,在体温、有重压稳定平衡没变的现象下,机械泵环境漏孔的漏率能够 按照衡量袋子中固体的质量波动率△V/△t,有重压P体温T而达到。
QL=(p/RT)(△V/△t) (2)
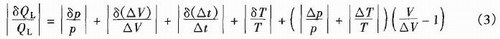
如果在测量过程中,容器中气体温度变化△T,压力变化仰;p9T,△V和△t分别为δp,δT,δ(△V),δ(△t),则参考漏孔的漏率测量误差δQL为

图1示出了由中国兰州物理研究所(LIP)研制的气体微流量标准装置的原理图。校准室为采用波纹管制作的变容室,波纹管外为密封油室,利用液压油的体积随压力改变极小的特性,通过控制活塞在油室中的体积来改变变容室的容积,变容室与参考室之间用差压式电容薄膜规测量压力差。在测量过程中,参考室中的气体压力调在10~10 3Pa之间,测控系统用慢速恒力矩电机驱动活塞在密闭油室中运动,连续增加变容室的体积,使变容室与参考室之间的压力差维持在零附近,则变容室内的气体压力就恒定不变了。活塞的横截面积与移动速度之积就等于变容室内气体体积的变化率。变容室为波纹管结构,密封性能好。它可以校准10-7~10-11 mol/s范围内的参考漏孔,标准不确定度小于2%。
美国Sandia国家实验室(SNL)研制了一台活塞位移式真空漏孔校准系统。它利用步进电动机驱动活塞在变容室中运动,连续改变变容室的体积,维持变容室中压力恒定。由于活塞与变容室之间采用“O”型圈密封,其漏、放气相对来说比较严重。这套系统可以校准10 -6~10 -11 mol/s范围内的真空漏孔。

在式(3) 中,OP指的是两个测量点的压力变化,在这两次测量之间只要压力的变化不改变真空漏孔的漏率就可以。SNL还研制了一台漏孔校准装置(见图2),采用增加固定体积的方法,即在t1时刻打开阀、1或阀2或阀3,使V1内压力P二下降,随着气体通过漏孔流人V1,直到t2时刻P二恢复到t1时刻前的压力,则△V和△t都可以确定。这个装置结构简单,操作方便,但仅是一种近似的恒压变容法,恒压效果差。SNL用它可以对5 ×10-10~5× 10- 8 mol/s范围内的真空漏孔进行校准,不确定度为5%。

图3示出玻璃毛细管变容室示意图,毛细管为真空漏孔提供气源,其中的液柱起到密封、变容、恒压、标识体积变化等作用[3]。这种方法很简单,可以用来校准漏率大于5×10-10 mol/s的参考漏孔,但是有它自身的缺陷。首先,毛细管不能太粗(直径小于1 mm ;其次,毛细管的内径要均匀,否则误差太大;还有,液体与管壁的浸润会给测量带来较大的误差,环境大气压的变化、液体的蒸发和温度变化引起的液体体积变化都会给漏率测量带来一定的误差。另外,液体蒸气会沿毛细管返流至被校漏孔,易引起漏孔堵塞或腐蚀。

高清亚洲日韩在线欧美相关的文章阅读:












氦质谱检漏方法是进口真空检漏行业领域里切不可或缺的1种方法,用各种方法
会按照被检件的检测的意义可不可以将氦质谱检漏具体方法包括两大类类别,属于是
大收纳空间检漏技術,国內外的的办法有冰泡法、火烛法、菌物法、硫磺皂法
意义毛细血管管端汽泡达成的通常实际, 研究方案汽泡检漏法的目的、泄密率
用包含有卤化物(氟、氯、溴、碘)的固体为示漏固体的检漏检测设备又称卤化物